I thought I’d add a few more graphs to the thread in an attempt to throw a bit more light on the original question.
In all calculations below I’ve used the return data in the Simba spreadsheet with those for TSM used for equities and TBM for bonds. A 30-year retirement with annual rebalancing has been modelled and steps of 1 percentage point in asset allocation used.
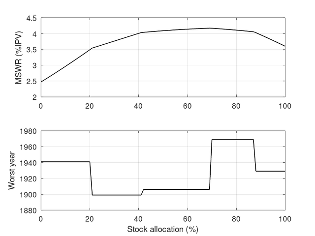
In the top panel of the following figure, the Maximum Safe Withdrawal rate (MSWR or SAFEMAX, i.e., the highest withdrawal rate that resulted in no failures across all of the rolling 30-year periods tested) as a function of stock allocation. This is a fairly well-known graph around here and demonstrates the statement that the OP made about there not being a lot of differences in MSWR as equity allocation is changed from 40% to 60% (although MSWR does fall off quite quickly for stock allocations below 40%).
![Image]()
The lower panel shows the start year of the 30-year period in which the MSWR occurred (i.e., the ‘worst year’) as a function of stock allocation. From this graph it is evident that the worst year changed as equity allocation was changed. For example, for equity allocations below about 20%, the worst year was 1941, for allocations above about 87%, the worst year was 1929, while for allocations between 40% and 60%, the worst year was either 1899 or 1906. It is also evident that the gradient in MSWR with equity allocation changes as the worst year changes (including going from positive to negative from just under 70% upwards).
In the following graph, the SWR is plotted as a function of stock allocation for the five worst cases shown in the lower panel of the previous graph.
![Image]()
Now we can see what is happening as the stock allocation was increased – the MSWR in the upper panel of the earlier figure follows the lower envelope of the curves plotted above. So, starting from an allocation of 0%, the worst case was 1941 until 21% where it met the curve for 1899. The gradient in the two lines was different and hence the change in gradient in the MSWR line in the upper panel of the first graph. As the equity allocation was increased further, the period starting in 1906 takes over as the worst case from an allocation of just over 40% and continues until it meets the 1969 case at just under 70% stocks. It is worth noting that the gradient of the 1969 case is negative at that stock allocation. Finally, as the equity allocation is increased further, the 1969 line meets the 1929 line (which has a steeper negative gradient) at around 87% stocks.
So, in an attempt to answer the question posed by the thread, the MSWR changes very little in going from 40% to 60% stocks because the gradient for the worst case at that allocation happens to be fairly small. Had the gradient been steeper (e.g., like in the 1941 or 1929 cases) then the gradient in MSWR would also have been steeper.
Cheers
StillGoing
ps I note that using the returns in the Simba spreadsheet for the ‘SP500’ instead of TSM or a fixed income fund with a different duration from TBM makes some relatively small changes to the behaviour of MSWR with asset allocation. However, using data from other countries can give very different outcomes.
In all calculations below I’ve used the return data in the Simba spreadsheet with those for TSM used for equities and TBM for bonds. A 30-year retirement with annual rebalancing has been modelled and steps of 1 percentage point in asset allocation used.
In the top panel of the following figure, the Maximum Safe Withdrawal rate (MSWR or SAFEMAX, i.e., the highest withdrawal rate that resulted in no failures across all of the rolling 30-year periods tested) as a function of stock allocation. This is a fairly well-known graph around here and demonstrates the statement that the OP made about there not being a lot of differences in MSWR as equity allocation is changed from 40% to 60% (although MSWR does fall off quite quickly for stock allocations below 40%).

The lower panel shows the start year of the 30-year period in which the MSWR occurred (i.e., the ‘worst year’) as a function of stock allocation. From this graph it is evident that the worst year changed as equity allocation was changed. For example, for equity allocations below about 20%, the worst year was 1941, for allocations above about 87%, the worst year was 1929, while for allocations between 40% and 60%, the worst year was either 1899 or 1906. It is also evident that the gradient in MSWR with equity allocation changes as the worst year changes (including going from positive to negative from just under 70% upwards).
In the following graph, the SWR is plotted as a function of stock allocation for the five worst cases shown in the lower panel of the previous graph.

Now we can see what is happening as the stock allocation was increased – the MSWR in the upper panel of the earlier figure follows the lower envelope of the curves plotted above. So, starting from an allocation of 0%, the worst case was 1941 until 21% where it met the curve for 1899. The gradient in the two lines was different and hence the change in gradient in the MSWR line in the upper panel of the first graph. As the equity allocation was increased further, the period starting in 1906 takes over as the worst case from an allocation of just over 40% and continues until it meets the 1969 case at just under 70% stocks. It is worth noting that the gradient of the 1969 case is negative at that stock allocation. Finally, as the equity allocation is increased further, the 1969 line meets the 1929 line (which has a steeper negative gradient) at around 87% stocks.
So, in an attempt to answer the question posed by the thread, the MSWR changes very little in going from 40% to 60% stocks because the gradient for the worst case at that allocation happens to be fairly small. Had the gradient been steeper (e.g., like in the 1941 or 1929 cases) then the gradient in MSWR would also have been steeper.
Cheers
StillGoing
ps I note that using the returns in the Simba spreadsheet for the ‘SP500’ instead of TSM or a fixed income fund with a different duration from TBM makes some relatively small changes to the behaviour of MSWR with asset allocation. However, using data from other countries can give very different outcomes.
Statistics: Posted by StillGoing — Thu Mar 06, 2025 3:35 am — Replies 44 — Views 7190